近日,中国科学院空天信息创新研究院(空天院)全球农情遥感监测(CropWatch)团队提出了一种基于零样本学习(ZSL)的玉米果穗几何性状表型分析框架,解决了传统方法耗时费力、数据依赖强、泛化能力弱等问题,为玉米育种和产量估算提供了高效精准的技术支撑。
玉米作为全球重要的粮食作物,其果穗几何性状(如长度、直径、面积)是育种改良和产量预测的核心指标。传统表型测量方法依赖人工操作,不仅效率低下、成本高昂,且受环境条件限制难以规模化应用;现有深度学习方法则需要针对不同品种或环境重新训练模型,给资源有限的用户和田间实际应用带来诸多不便。
研究团队构建了融合Grounding DINO和轻量化形状校正的Mobile Segment Anything Model(MobileSAM)的零样本学习框架,无需标注训练数据即可实现玉米果穗的精准检测、分割与性状估算。
该框架包含三个核心步骤:首先,利用Grounding DINO模型的开放词汇检测能力,基于文本提示词在无微调的情况下自动识别玉米果穗和棋盘格;随后,以检测得到的边界框为提示,通过轻量化的MobileSAM模型快速生成高质量实例分割掩码,并通过形态学处理去除异常目标,提升田间场景下的分割精度;最后,基于棋盘格将像素级测量结果转换为真实物理尺寸,实现果穗长度、直径、面积等几何性状的自动计算。
与传统方法相比,该零样本学习框架具有三大核心优势:一是泛化能力强,无需重新训练即可适配不同基因型、不同生态地理环境的玉米品种;二是操作便捷高效,支持智能手机、文档高拍仪等普通设备拍摄的图像分析,无需严格控制光照条件,田间原位即可完成数据采集;三是成本可控,轻量化模型设计降低了计算资源需求,便于在边缘设备部署应用,实时计算出几何性状。
研究团队在秘鲁公开数据集和中国河北馆陶、黑龙江哈尔滨两地的田间与实验室自建数据集上进行全面验证。结果显示,该框架在实验室环境下检测准确率达100%,田间环境达98%;轻量化MobileSAM模型在保持99.6%分割精度的同时,实现了12.90 FPS的高效处理速度,较传统模型提升显著。分割结果经过形状校正后错误的检测结果和被遮挡的棋盘格被移除(图2)。
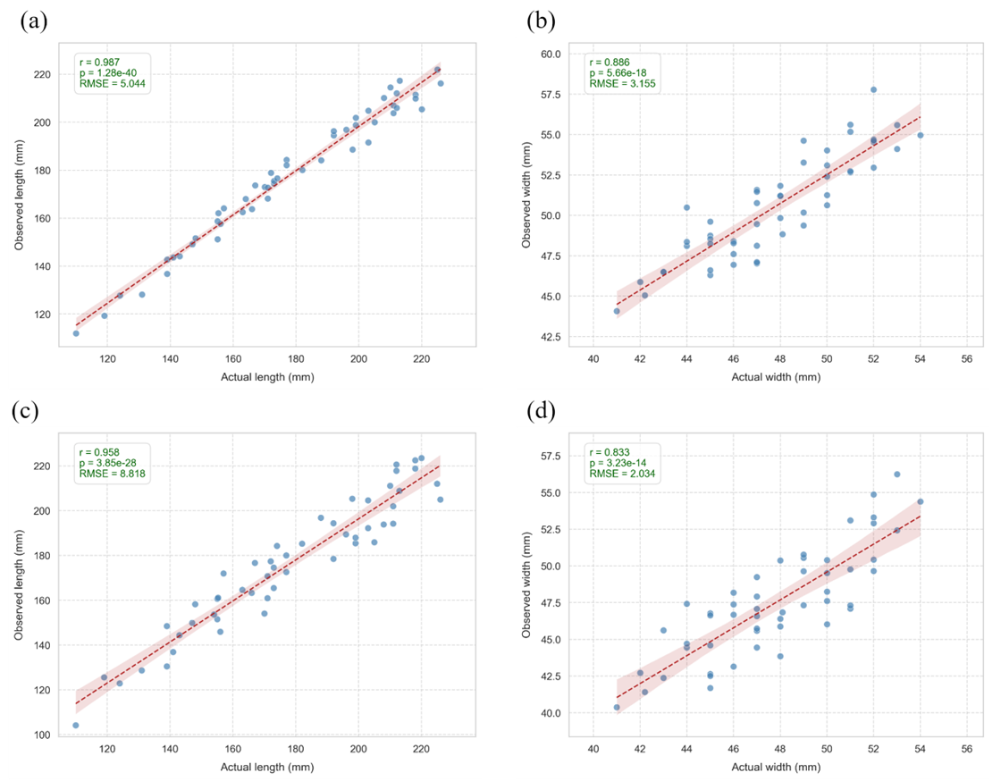
估算的果穗几何性状与人工测量结果呈现强相关性(相关系数r=0.958-0.987)(图3),其中果穗面积与实际产量的相关系数高达0.95,验证了其实际应用价值。通过多元线性回归分析,基于该框架提取的果穗几何性状构建的产量预测模型表现优异:实验室环境下仅通过果穗面积预测产量的模型决定系数(R²)达0.931,均方根误差(RMSE)低至13.306g;田间环境下融合面积、长度和宽度三性状的模型R²达0.889,RMSE为16.501g,充分证明了该框架在不同场景下的稳定性和可靠性。
该研究实现了玉米果穗几何性状提取与产量估算的全流程零样本分析,有效打通了实验室精准测量与田间规模化应用之间的壁垒。研究成果不仅为玉米育种提供了高效表型工具,也为精准农业中的玉米产量预测、田间管理提供了技术支撑。
未来,研究团队将进一步优化框架在田间遮挡环境下的分割鲁棒性,开发镜头校正和倾斜校正算法进一步提升田间测量精度,并通过调整提示词和参数,推动该框架向其他作物表型分析延伸。
研究成果以“Zero-Shot Learning for Phenotyping of Maize Cob Geometric Traits in Diverse Environments”为题,近期发表于农林科学领域权威期刊《Smart Agricultural Technology》。该研究由空天院联合澳大利亚昆士兰大学、湖北大学、中国农业科学院农业资源与农业区划研究所等单位共同完成,空天院吴方明为第一作者,张淼、吴炳方为为共同通讯作者。该研究得到国家重点研发计划和中国科学院青促会项目的支持。
论文链接:https://doi.org/10.1016/j.atech.2025.101643

图1 基于零样本学习的玉米果穗几何性状表型分析框架

图2 对玉米穗和棋盘格进行分割(左)和形状校正(右)结果

图3 玉米果穗实验室数据集(a,b)与田间数据集(c,d)实际值与观测值之间的关系