团队最新算法成果:水云微物理廓线遥感探测新方法
近日,CARE团队尚华哲副研究员在水云的微物理参数反演方面取得新进展,提出了一种具有广泛代表性的水云廓线参数化方案。该成果于2025年2月发表在Science China Earth Sciences期刊上(中国科学院一区),为水云垂直信息的探测提供了新方法。
水云的微物理廓线(简称“水云廓线”)是描述云中粒子有效半径、云水含量等垂直分布的参数,水云廓线观测数据对理解气溶胶-云-降水过程和改进全球云辐射效应评估具有重要意义。
相比地基、飞机等观测手段,卫星遥感具有大范围水云廓线观测的优势。然而,水云廓线的遥感观测主要依赖雷达等载荷,如云雷达和激光雷达,雷达资料通常仅能实现沿轨较窄幅宽的探测,因此难以直接用于空间连续的云微物理特性研究。多光谱成像仪虽能提供空间连续的二维云微物理产品,但将这些数据扩展为廓线仍缺乏有效的模型支撑。本研究的目标是发展一种能够基于雷达和多光谱成像仪资料构建水云廓线的算法,该算法可以应用于提升雷达水云廓线探测的垂直分辨率。
CARE团队基于对大量水云模式模拟数据的分析,提出一种水云廓线参数化方案,该方案以云光学厚度、云顶粒子有效半径等8个参数为输入,构建出四类典型结构特征的云廓线,这些结构特征能够代表超过90%的层状水云样本。在此基础上,结合多光谱成像仪的观测通道设置,以及辐射传输模拟,评估了可见光-红外波段卫星观测对上述参数化方案中8个输入参数的探测能力。结果表明多光谱成像仪的可见光和红外通道的观测能够获取云光学厚度、云顶粒子有效半径、云几何厚度等参数,而难以获取水云廓线折点的位置和对应的粒子有效半径等信息。这一工作为评估现有多光谱卫星观测资料的水云廓线探测能力提供了重要参考。结合上述水云廓线参数化方案进一步发展了水云廓线重建模型(CPRM),该模型可以通过输入已有的云顶粒子有效半径、云几何厚度等云参数,构建出垂直结构精细的水云粒子有效半径和云水含量廓线(图1)。基于CloudSat云廓线探测结果(图2)和飞机观测数据的评估表明,CPRM能够有效捕捉云粒子有效半径和云水含量的垂直分布特征,应用于基于云雷达的离散观测结果重建垂直结构精细的云廓线。研究成果为结合雷达和多光谱成像仪资料开展水云廓线探测研究提供新的视角。
上述研究成果以“Remote sensing of liquid cloud profiles based on an analytical cloud profiling model”为题发表在Science China Earth Sciences上。中国科学院空天信息创新研究院遥感与数字地球全国重点实验室副研究员尚华哲为第一作者,胡斯勒图研究员为通讯作者,共同作者包括石崇研究员等。该研究得到国家重点研发计划青年科学家项目、国家自然科学基金项目、中国科学院青年创新促进会等的共同资助。
原文链接:https://www.sciengine.com/SCES/doi/10.1007/s11430-024-1532-2

图1 基于云廓线重建模型(CPRM)生成的水云微物理廓线。CPRM的参数包括:云底粒子有效半径 (
)、廓线折点处的粒子有效半径 (
)、云顶粒子有效半径 (
)、云顶粒子有效半径(
)、云几何厚度 (
) 、云光学厚度(
)、从云顶测得的转折点光学厚度(
)、以及云粒子数浓度廓线的斜率(k)。图中
固定在1.0µm,
固定在2.0km,中
和
分别固定在30.0和8.0,
分别取 6.0µm 和 9.0µm,
分别取5.0µm、9.0µm 和 15.0µm,k分别取 -0.2 和 2.0。

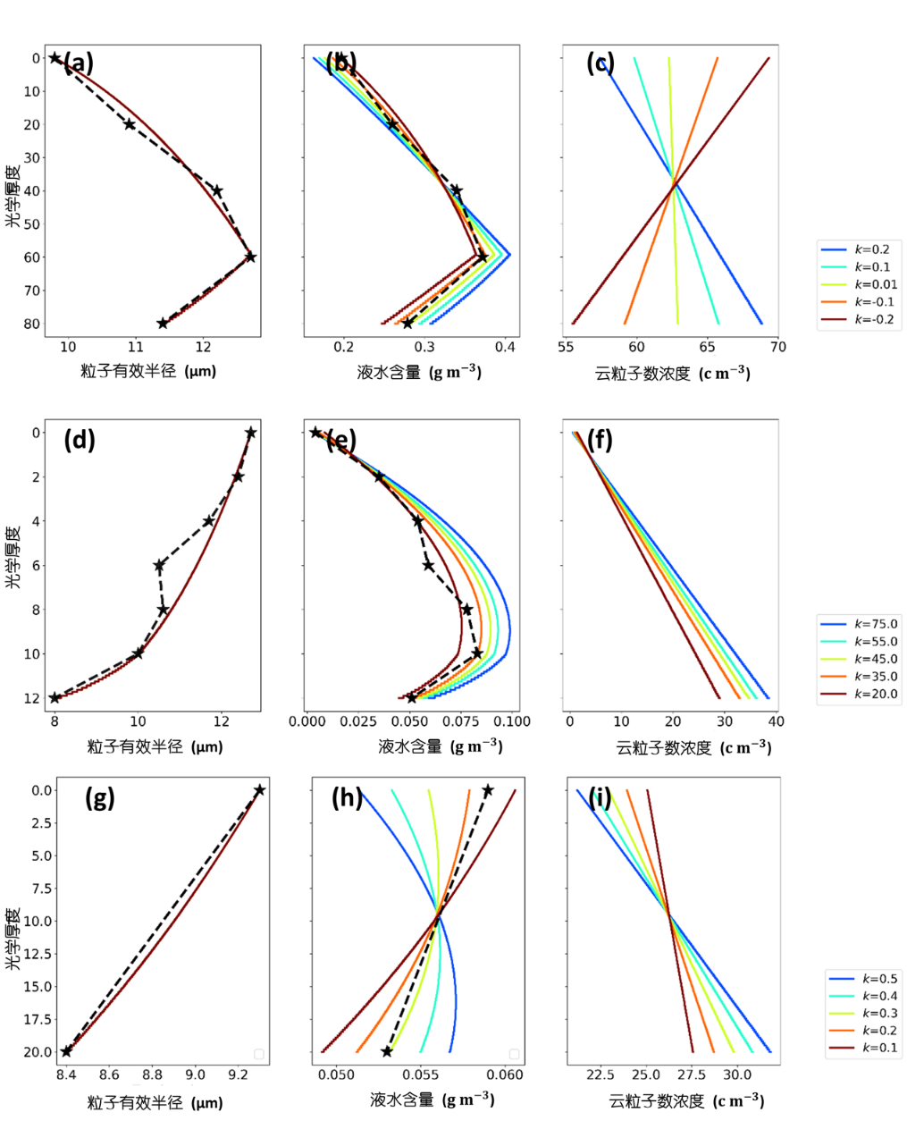
图2 CloudSat观测和CPRM云廓线对比。(a~c)第一个例子中CloudSat和CPRM云粒子有效半径、液水含量和云粒子数浓度廓线,图中
、
和
分别为11.4μm、12.7μm和9.8μm,
、
分别为80.0和59.0,
为2.0km,k在−0.2~0.2之间变化;(d~f)第二个例子中CloudSat和CPRM的三种云微物理廓线,图中
、
和
分别为8.0μm、10.0μm和12.7μm,
、
分别为12.0和10.0,
为2.0km,k在20~75之间变化;(g~i)第三个例子中CloudSat和CPRM的云微物理廓线,图中
、
和
分别为8.4μm、8.9μm和9.3μm,
、
分别为20.0和10.0,
为2.0km,k在0.1~0.5之间变化,图中黑色星号代表CloudSat观测, 彩色线为CPRM的结果。